- This is probably won't be in an interview, so code implementation is not provided, but good to know the concepts
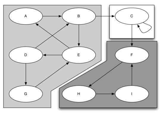
- Strongly Connected Component (SCC): a strongly connected component C, of a graph G, as the largest subset of vertices C⊂V such that for every pair of vertices v,w∈C we have a path from v to w and a path from w to v.
- Once the strongly connected components have been identified we can show a simplified view of the graph by combining all the vertices in one strongly connected component into a single larger vertex.
- The transposition of a graph G is defined as the graph G^T where all the edges in the graph have been reversed.
- Call DFS for the graph G to compute the finish times for each vertex.
- Compute G^T (i.e. transposition of G)
- Call DFS for the graph G^T but in the main loop of DFS explore each vertex in decreasing order of finish time
- Each tree in the forest computed in step 3 is a strongly connected component. Output the vertex ids for each vertex in each tree in the forest to identify the component

